Un transistor es un componentes de tres terminales denominados puerta (G, Gate), fuente (S, Source), y drenaje (D, Drain) depositados sobre un semiconductor. Su funcionamiento se basa en aplicar un voltaje en su puerta (G) para inducir un campo eléctrico en el dieléctrico en el que está depositado y conseguir que con pequeñas variaciones en la corriente base se obtengan variaciones importantes en la corriente general controlada por el aparato. Los transistores pueden funcionar como interruptores para cortar las señales eléctricas a partir de una pequeña señal de mando, o como amplificadores de señales en los que la corriente se controla mediante la tensión.
El transistor fue inventado por un grupo de científicos de la Bell Telephone Laboratories dirigidos por William Shockley, el 16 de diciembre de 1947. Fueron John Bardeen, William Shockley y Walter Brattain los padres de la criatura y por ello fueron galardonados con el Premio Nobel de Física en 1956
Bardeen, Schockley y Brattain
Primer transistor de germanio
Fuente: Lucent Technologies Bell Laboratories.
Con el transistor se inició una auténtica revolución en la electrónica. La novedad del invento consistió en que antes de su invención el sistema de amplificación de corriente, se basaba en las antiguas «válvulas de vacío«, descubiertas por Sir Ambrose Flemig en el año 1.904, (también llamadas diodos) y a las que en 1.906 Lee Forest agregó un nuevo electrodo denominado reja o grilla. Es lo que se llamó triodo y consistía en una válvula en la que se había hecho el vacío con 3 elementos llamados : ánodo, cátodo y rejilla
Ai calentar el cátodo por el «efecto termoeléctrico» se producen electrones que son atraídos por el ánodo y ese flujo se convierte en una corriente eléctrica. Si en el camino de este flujo se pone una rejilla, en función del voltaje aplicado a la misma se modificará la corriente que pasa del cátodo al ánodo y el dispositivo al variar la tensión en esa rejilla consigue que se provoque una variación en la corriente de la placa. Si conectamos una resistencia en esa placa, la corriente, que sigue a las variaciones de tensión de la rejilla, provocará que esa variación se refleje en la diferencia de potencial de la resistencia de la placa, en forma más grande que la señal de entrada y así se consigue un circuito amplificador.
Pero el problema de controlar la corriente con aquellas antiguas válvulas termoiónicas era que las mismas al trabajar con tensiones altas y necesitar calentarse hacían que el aparato que las usaba tardara más de 30 segundos en empezar a funcionar. Con el transistor se consiguió que los modernos aparatos se encendiesen en apenas un par de segundos.
Pero el funcionamiento de un transistor se basó en sus orígenes en los llamados semiconductores inorgánicos(principalmente silicio o germanio) ya que esos materiales dieléctricos eran fundamentales para el buen funcionamiento del mismo porque influyen en el campo eléctrico que se crea
La novedad es que, modernamente han empezado a desarrollarse unos «nuevos materiales» para la fabricación de transistores que en vez de utilizar componentes inorgánicos para sus elementos semiconductores ahora utilizan moléculas orgánicas. Son los llamados «transistores orgánicos«, también conocidos como OFETs (Organic Field Effect Transistor) que empezaron a desarrollarse a partir de 1986 y en los que se sustituyen los semiconductores inorgánicos por otros materiales orgánicos. Esto ha dado origen a una nueva electrónica llamada «electrónica orgánica» cuya principal característica es la de usar moléculas orgánicas como materiales activos. En los últimos tiempos estos prototipos han mejorado enormemente y hoy con ellos ya se alcanzan cargas del mismo orden que las que se obtienen con el silicio amorfo (0.1-1 cm2/Vs). La ventaja clave de estos nuevos materiales orgánicos es su pequeño tamaño, su facilidad de fabricación y su bajo costo.
El conocimiento de estos nuevos materiales se lo debemos a un químico japonés del Instituto de Tecnología de Tokio, llamado Hideki Shirakawa. Él fue quien descubrio que los plásticos aislantes podrían ser conductores de la electricidad
Hideki Shirakawa
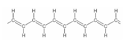
Los llamados «polímeros conductores«, fue el «material milagroso» sintetizado por Shirakawa en 1975 a partir de moléculas de acetileno. Lo curioso es que todo se debió un error de este investigador, ya que él quería solo sintetizar poliacetileno pero se equivocó y agregó mil veces más catalizador del requerido, y ello ocasionó que en lugar de obtener un polvo oscuro y opaco se obtuviera una película con apariencia de aluminio. Gracias a la gran cantidad de catalizador aportado se provocaron importantes cambios en la estructura de aquel polímero, y el resultando fue un producto que pese a su apariencia metálica no era un material conductor, sino un material semiconductor como los que se usaban en la fabricación de transistores.
Estructura química del poliacetileno sintetizado por Shirakawa
Aquel material tenía una estructura química en la que cada átomo de carbono portaba un electrón libre. Eso le permitía establecer una conducción de tipo metálico y por este descubrimiento Shirakawa obtuvo el premio Nobel de Química en el año 2000. En 1975, dos químicos llamados Alan Heeger y Alan MacDiarmid, tras conocer a Shirakawa se interesaron por su poliacetileno y MacDiarmid lo modificó con vapor de yodo. Tras esa exposición aquel poliacetileno mostró una conductividad eléctrica que representaba un incremento de nueve órdenes de magnitud respecto al material original. El tratamiento con halógenos había conseguido que aquel material tuviera una analogía similar a la del dopado de semiconductores y gracias a aquella oxidación del poliacetileno con vapor de yodo se pudo aumentar enormemente su conductividad y en su forma dopada el mismo ya dio un valor de 103 S cm-1, que era bastante mayor que el de cualquier otro polímero hasta entonces conocido.
Tras aquellos experimentos se vio que los semiconductores orgánicos «podían ser dopados«, es decir, que podían producir electrones en exceso (dopaje N ) o huecos (dopaje P) gracias a la implantación iónica, es decir, mediante la adición de iones que tienen electrones de valencia extra o en defecto, según el caso, lo que permite añadir los portadores de carga deseados.
Y así es como se realizaron los OFETs. Un OFET típico consiste en un dispositivo de tres terminales: un electrodo compuerta, un dieléctrico y una película semiconductora basada en el material orgánico. El semiconductor orgánico tiene contacto eléctrico con los electrodos metálicos que actúan como fuente (source) y drenador (drain). La película del semiconductor orgánico (30 – 50 nm) puede ser depositada por evaporación sobre un sustrato dieléctrico y la fuente y el drenador son electrodos de polímeros conductores obtenidos a partir de técnicas de impresión.
Configuraciones de un OFET: contacto superior (arriba) y contacto inferior (abajo).
La corriente a través del semiconductor conectado a las dos terminales (source y drain) se controla aplicando un voltaje en la tercera terminal (puerta o gate). Esta tensión induce un campo eléctrico a través del dieléctrico en el que el semiconductor está depositado y causa la formación de una capa de acumulación de cargas en la interfase. Luego, mediante la aplicación de una diferencia de voltaje entre los contactos source-drain es posible medir la intensidad de corriente entre ellos.Asi es como han podido desarrollarse sistemas ligeros y flexibles con técnicas de impresión y de revestimiento simples.
Actualmente hay un gran interés en la utilización de circuitos basados en estos transistores orgánicos para una gran variedad de aplicaciones, como el «papel electrónico» que utiliza tintas electroforéticas con pigmentos cargados que se mueven cuando se activa el OFET por la generación de un campo eléctrico pero el más interesante es la llamada «piel electrónica» que lleva un circuito integrado de 2 micrómetros conectado directamente a la piel humana. En la siguiente figura,se esquematiza como con una delgada tira adhesiva de la misma obtenemos un «monitor cardiaco» que envía por Bluetooth los datos del corazón
Este ensayo ha sido realizado por los investigadores de la Universidad de Stanford que han podido obtener un medio de comunicación seguro para comprobar con el mismo el estado del corazón de un paciente
Y esto es solo el principio porque las posibilidades de los «transistores orgánicos» para el seguimiento «in situ» del cuidado de las heridas, la reparación de los tejidos y la administración de fármacos son infinitas. Los OFETs en los próximos años van a traernos muchas aplicaciones interesantes y novedosas en el campo de la biomedicina
Referencias.
Marta Mas-Torrent y Concepció Rovira. «Transistores de efecto de campo basados en moléculas orgánicas» (OFETs)
«An ultra-lightweig design for imperceptible plastic electronics«. Nature 499, 458–463 (25 July 2013)
Manolo te vas superando. Eres un libro o mejor una enciclopedia. La verdad es que no entiendo nada de transistores y después de leer tu blog me he quedado igual. Pero seguro que te has ilustrado a tope para echarte a la arena con ése articulazo. Enhorabuena.
Me gustaMe gusta
Muchas gracias por tu apoyo querido Gabriel
Me gustaMe gusta